Notice
Recent Posts
Recent Comments
Link
초보 개발자의 일기
NumPy - 선형대수 연산 본문
행렬 내적과 전치 행렬을 구하는 방법이다.
A = np.array([[1, 2, 3], # 예시용 행렬 생성
[4, 5, 6]])
B = np.array([[7, 8],
[9, 10],
[11, 12]])
행렬 내적
내적이란 2개의 벡터가 서로 얼마나 닮았는지, 얼마나 유사한 방향을 지녔는지를 의미한다. 이 공부가 필요하므로 이후 수정할 예정이다. 자세한 내용이 설명되어있는 링크를 첨부한다.
angeloyeo.github.io/2019/08/20/correlation_and_inner_product.html
상관계수는 벡터의 내적이다. - 공돌이의 수학정리노트
angeloyeo.github.io

dot_product = np.dot(A, B)
print('행렬 내적 결과:\n', dot_product)
print((dot_product).shape)
행렬 내적 결과:
[[ 58 64]
[139 154]]
(2, 2)
뜬금없는 궁금증 때문에 A와 B의 위치를 바꿔보았다.
dot_product도 바뀌어서 출력된다. 입력 시 유의해야 할 것 같다.
dot_product = np.dot(B, A)
print('행렬 내적 결과:\n', dot_product)
print((dot_product).shape)
행렬 내적 결과:
[[ 39 54 69]
[ 49 68 87]
[ 59 82 105]]
(3, 3)
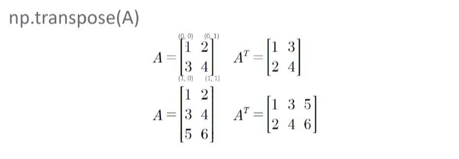
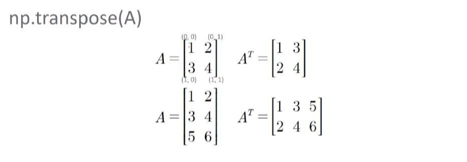
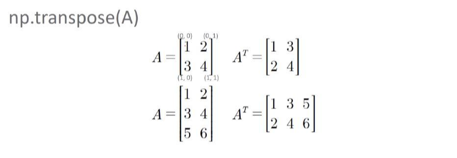
전치 행렬
전치 행렬은 행렬의 Row와 Column을 전환하는 것이다.

A = np.array([[1, 2],
[3, 4]])
transpose_mat = np.transpose(A)
print('A의 전치 행렬:\n', transpose_mat)
A의 전치 행렬:
[[1 3]
[2 4]]
※ 이지북스의 파이썬 머신러닝 완벽 가이드를 바탕으로 한 학습 기록입니다 ※
'소소한 공부 일기 > 데이터 분석' 카테고리의 다른 글
| Pandas - Viewing data (0) | 2021.05.08 |
|---|---|
| Pandas - Object creation (0) | 2021.05.05 |
| NumPy - ndarray의 정렬 (0) | 2021.05.05 |
| NumPy - ndarray의 데이터 세트 선택하기 (0) | 2021.05.04 |
| NumPy - ndarray 생성, reshape() (0) | 2021.05.04 |
Comments